← prognosis rabies pdf Rabies viral encephalitis: clinical determinants in diagnosis with rabies case study pdf Rabies malaysia increasing cases disease →
If you are searching about Penatalaksanaan kejang you've visit to the right web. We have 35 Pictures about Penatalaksanaan kejang like Demam Akibat Digigit Monyet - Tanya Alodokter, Rabies Center ~ Puskesmas Seririt Satu and also Algoritma Penatalaksanaan Kejang Demam | PDF. Here you go:
Penatalaksanaan Kejang
www.slideshare.net
kejang rujukan
(PDF) Panduan Penatalaksanaan Medis (PPM | Dinda Arthamevia - Academia.edu
panduan medis
PANDUAN PENATALAKSANAAN HEMOFILIA.pdf
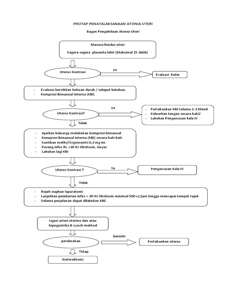
Protap Penatalaksanaan Atonia Uteri | PDF
atonia uteri protap
Pusat Data Dan Informasi - Kementerian Kesehatan Republik Indonesia
www.pusdatin.kemkes.go.id
Penatalaksanaan Hiperemesis Gravidarum | PDF
gravidarum hiperemesis
Surveilans Kesehatan Sumedang: RECHECKING PENILAIAN ELIMINASI MALARIA
surveilans-sumedang.blogspot.com
malaria sumedang rechecking penilaian eliminasi
Animals And Medicine - 2. Rabies - Open Book Publishers
books.openedition.org
rabies publishers open
(DOC) MAKALAH RABIES | Dokter Ternak - Academia.edu
makalah rabies
Rabies Center ~ Puskesmas Seririt Satu
puskesmasseririt1.blogspot.com
rabies alur hewan penanganan gigitan
PENATALAKSANAAN-ASMA-2016-1-pdf.pdf
asma
Rabies : Definisi & Penatalaksanaan
www.klinikindonesia.com
rabies klinikindonesia
Penatalaksanaan Kejang
www.slideshare.net
slideshare
Ini Tanda-tanda Anjing Rabies Dan Kalau Sudah Menular Pada Manusia
hellosehat.com
rabies anjing ciri hewan terinfeksi waspadai penularan ditinjau savitri medis
Axiom Rabies Titre Submission Form: Fill Out & Sign Online | DocHub
www.dochub.com
Penatalaksanaan Kasus Gigitan Hewan Penular Rabies - YouTube
www.youtube.com
ABIANBASE VILLAGE: Rabies Diagnosis Dan Tatalaksana
dokter-andre.blogspot.com
rabies
Punca Utama Kepada Penyebaran Virus Rabbies Dibawa Oleh Anjing - Public
trilampsz.blogspot.com
rabies anjing penyakit gila tanda kotamobagu disuntik sengaja bharian perkara mustahak kes bawaan atau manusia vaksin memprihatinkan sarawakvoice gejala haiwan
(PDF) PENYAKIT PARU OBSTRUKTIF KRONIK ( PPOK ) PEDOMAN DIAGNOSIS
ppok pdpi kronik pedoman paru obstruktif gambaran klinis
Penatalaksanaan Stroke PDF | PDF
PROTAP PENATALAKSANAAN SEPSIS.pdf
SOP Rabies
rabies sop
Penatalaksanaan Rabies - Alomedika
www.alomedika.com
alomedika
BUKU SAKU - Pspk. SAKU RABIES...آ PENDAHULUAN Rabies Disebut Juga
dokumen.tech
Panduan Penatalaksanaan Kanker Kolorektal 2014 - [PDF Document]
fdokumen.com
panduan kanker
Punca Utama Kepada Penyebaran Virus Rabbies Dibawa Oleh Anjing - Arpit
jumlsty.blogspot.com
rabies anjing gila fakta bharian mengejutkan sebabkan korbannya ejakulasi penyebab mangsa hiasan
Tanda - Tanda Fizikal Anjing Positif Rabies Yang Korang Perlu Tahu
www.nurfuzie.com
rabies anjing positif fizikal korang fasa
Rabies PDF | PDF | Rabia | Vacunas
rabies
Versiguard Rabies - My Site
mailvets.weebly.com
rabies pdf
Sop Penanganan Rabies
rabies
Rabies
www.slideshare.net
rabies
Penguatan Kapasitas SDM Dalam Penatalaksanaan GHPR – Dinas Kesehatan
dinkes.salatiga.go.id
dinkes ghpr penguatan sdm kapasitas salatiga rabies
Demam Akibat Digigit Monyet - Tanya Alodokter
www.alodokter.com
rabies gigitan anjing flowchart demam digigit alur penanganan setelah luka akibat monyet malaria penanggulangan puskesmas alodokter terkena kemungkinan
KeJaR MimPimU,,,: PENATALAKSANAAN KASUS GIGITAN HEWAN PENULAR RABIES (GHPR)
irapanussa.blogspot.com
gigitan rabies
Algoritma Penatalaksanaan Kejang Demam | PDF
kejang algoritma demam
Punca utama kepada penyebaran virus rabbies dibawa oleh anjing. Dinkes ghpr penguatan sdm kapasitas salatiga rabies. Ppok pdpi kronik pedoman paru obstruktif gambaran klinis
